Exploration d’Audaces Perps, une révolution dans l’univers du trading sur marge décentralisé
Le trading sur marge décentralisé fait son apparition dans l’écosystème Solana ! En effet, depuis le 21 juillet, Bonfida propose des contrats perpétuels sur le bitcoin (BTC), l’ether (ETH) et et le solana (SOL), à travers Audaces Protocol et son DEX, Audaces Perps.
Qu’est-ce qu’un contrat perpétuel décentralisé ? Comment Bonfida utilise les possibilités techniques de Solana pour déployer la finance décentralisée sur le réseau créé par l’équipe d’Anatoly Yakovenko et propulsé par Sam Bankman Fried d’Alameda Research ? Quels sont les apports et les limites du protocole Audaces ?
Bonfida, la boîte à outils de l’écosystème Solana
Bonfida est l’un des projets centraux de l’écosystème qui se développe sur la blockchain Solana, déjà connu pour fournir la meilleure interface dédiée au Serum DEX. Ses équipes développent une suite complète de produits et de services permettant de connecter Solana avec ses utilisateurs finaux. Bonfida propose entre autres des bots de trading on-chain et un système de noms de domaines décentralisé.

Le Serum DEX connaît un grand succès depuis sa création, et le volume quotidien échangé avoisine les 32 millions de dollars. Les ordres de trading sont exécutés entièrement on-chain grâce au débit de transactions très élevé de Solana (50 000 tps). Le trader bénéficie aussi de frais très faibles.
Bonfida permet désormais d’échanger des contrats perpétuels via leur plateforme d’échange décentralisée, Audaces Perps. Tout est réalisé on-chain, et il suffit d’un wallet Solana pour « trader » ces contrats. Il est même possible d’utiliser de l’effet de levier, allant jusqu’à 15.
Audaces Perps : des contrats perpétuels décentralisés grâce à Solana
Qu’est-ce qu’un contrat perpétuel ?
Les contrats perpétuels sont des contrats à terme… qui n’expirent jamais. Tout comme dans le cas des futures classiques, il s’agit d’un agrément entre un acheteur et un vendeur. Le règlement de ces contrats est uniquement financier, c’est-à-dire que les parties ne s’engagent pas à fournir l’actif sous-jacent dont dérive ces produits. Elles vont seulement se contenter de créditer ou de débiter l’autre partie, en fonction de la variation du cours, dans la contrevaleur choisie (monnaie fiat ou stablecoins dans le cas des cryptomonnaies).
Le cours du sous-jacent est fourni par un indice. Afin que le prix du contrat converge avec celui du sous-jacent, deux mécanismes entrent en jeu : le funding payment (qui permet de financer la position) et l’arbitrage (lorsque les acteurs du marché profitent de la divergence entre le cours du contrat et celui du sous-jacent).
Dans le cas des contrats perpétuels de Bonfida (Audaces Perps), tous les échanges sont réalisés directement sur la blockchain de Solana, de manière décentralisée, entre les wallets des utilisateurs. Le prix du sous-jacent est déterminé grâce à un oracle.
Le rôle de l’AMM
C’est alors un protocole, régi par un ensemble de smart contracts, qui assure la correspondance des ordres on-chain. On parle de faiseur de marché automatique ou AMM (automated market maker). Très connus grâce à Uniswap, ces protocoles permettent de fournir la liquidité nécessaire aux échanges. Ils utilisent généralement une fonction constante, c’est-à-dire que le produit des liquidités composant la paire échangée reste égal à une constante k.
Dans le cas des échanges décentralisés classiques, ces liquidités sont déposées dans des coffres numériques par les utilisateurs du protocole. On parle de fournisseurs de liquidités, de vaults, de pools ou encore de farming… Pour créer Audaces Protocol, Bonfida a repris Perpetual Protocol (PERP), le premier AMM virtuel.
Fonctionnement des Audaces Perpetuals de Bonfida
Le protocole Audaces : un AMM virtuel
Dans le cas de Bonfida, l’AMM est dit virtuel (vAMM). En effet, les liquidités de l’AMM sont… virtuelles.
Tout d’abord, la liquidité nécessaire pour placer les ordres est fixée et verrouillée lors de la création du contrat pour chaque utilisateur.
Les ordres sont alors exécutés durant une certaine période temporelle par l’algorithme du vAMM. L’état de chaque marché est stocké directement sur la blockchain Solana. Lors de la publication de l’état final du marché, chaque utilisateur voit son compte crédité ou débité – un peu à la manière du Lightning Network de Bitcoin.
Ce système permet de créer des produits dérivés sur n’importe quel actif, à partir du moment où un oracle de prix est disponible pour ce dernier. En l’occurrence, Audaces Protocol utilise Pyth Network.

Mécanisme de liquidation
Le mécanisme de liquidation des Audaces Perps de Bonfida est novateur. En effet, le protocole est conçu pour optimiser la vitesse des liquidations et éviter les effets boule de neige.
Dans le cas d’un protocole classique, les comptes utilisateurs sont régulièrement “scannés” pour identifier les positions à liquider. Pour chaque position liquidée, une transaction correspondante sera émise sur la blockchain.
Bonfida utilise des Liquidation Trees (LT) ou arbres de liquidation. Ces structures de données sont au nombre de 2 : un arbre pour les positions long, et un autre pour les positions short.
Les prix de liquidation sont déterminés lors de la création des ordres. L’arbre comprend alors l’index de ces prix. Ils sont associés à chaque compte utilisateur ayant une position ouverte, et les données sont stockées on-chain. Lorsqu’un utilisateur interagit avec sa position une fois ouverte, le protocole va chercher la feuille de l’arbre correspondante.
Cette structure permet de connaître la quantité totale de collatéral, et d’actifs “virtuels” associée. Cela rend la liquidation extrêmement efficiente : dans la pratique, la vitesse du mécanisme n’est limitée que par la fréquence de mise à jour de l’oracle et le délai de production des blocs de Solana.
C’est donc le prix de l’indice donné par l’oracle, et non le prix du marché, qui détermine les liquidations. Cela permet d’éviter les liquidations en cascade, où la liquidation de certaines positions entraîne un changement de prix du contrat en provoquant d’autres.
Financement des contrats perpétuels Audaces Perps
Les contrats ne sont pas financés au moyen d’un prélèvement sur les positions ouvertes. Le financement s’effectue directement à partir du solde présent sur le wallet de l’utilisateur. Il faut donc avoir un solde de financement suffisant en permanence, sous peine de voir sa position liquidée.
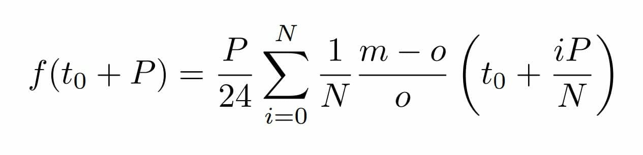
Le financement s’effectue en 3 étapes, selon la formule suivante :
- f : ratio de financement ;
- P : période de financement en heures ;
- N : nombre d’échantillons pour une période donnée ;
- m : prix du marché ;
- o : prix donné par l’oracle.
Tout d’abord, lors de la première étape, ce taux de financement du marché est calculé à intervalles courts et réguliers. Cela permet ainsi de déterminer la moyenne mobile, pondérée par le temps, de la différence relative entre le prix du marché et celui de l’indice (donné par l’oracle).
Ensuite, la valeur finale du taux de financement pour la ronde écoulée est calculée sur des intervalles plus longs. La différence entre les longs et les shorts est aussi calculée, afin de fixer le plafond de financement.
Si le prix du marché est au-dessus de celui de l’index (premium), les longs paient les shorts. S’il est au-dessous (discount), les shorts paient les longs.
Enfin, l’étape finale consiste à prélever les fonds directement sur le compte de l’utilisateur.
Le fonds d’assurance et le fonds de rééquilibrage
Une partie des frais prélevés par le protocole sert à financer le fonds d’assurance. Ce fonds permet de faire face à certains cas limites, comme les échecs d’arbitrage. De plus, un mécanisme de rééquilibrage permet d’éviter de financer les contrats via le fonds d’assurance. La valeur de la constante k, mentionnée plus haut, peut également être modifiée, sous certaines conditions.

Après avoir exploré les confins techniques du trading sur marge décentralisé au sein de l’écosystème Solana, un deuxième papier sous forme de tutoriel viendra clore ce chapitre et vous guidera dans sa mise en pratique.
Le trading de contrats perpétuels sur blockchain est expérimental, tout comme l’est la finance décentralisée. Ces nouveaux algorithmes sont complexes, et peuvent présenter des failles. Faites vos propres recherches avant tout investissement !


